Lam Dong Police have just announced the list of traffic tickets for speeding from April 12 to April 20. The list is as follows:








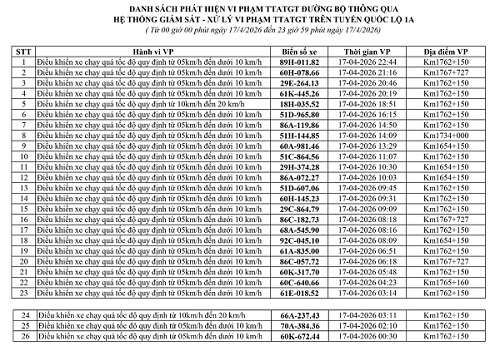
Thanh Hoa Police said that from March 1st to March 15th, through the camera system, functional forces discovered many cases of speeding. National Highway 45 alone has 26 cases as follows:


Decree 168/2024/ND-CP stipulates the penalty level for speeding as follows:
Fines for speeding cars from 5 km/h to less than 10 km/h: Fines from 800,000 VND to 1,000,000 VND.
Fines for speeding cars from 10 km/h to 20 km/h: Fines from 4,000 VND to 6,000 VND; at the same time, violators will be deducted 2 points from their driver's license.
Fines for speeding cars from over 20 km/h to 35 km/h: Fines from 6,000 VND to 8,000 VND; at the same time, violators will be deducted 4 points from their driver's license.
Fine level for driving a car exceeding the prescribed speed by over 35 km/h: Fine from 12,000 VND to 14,000 VND; at the same time, the violator will be deducted 6 points from the driver's license.