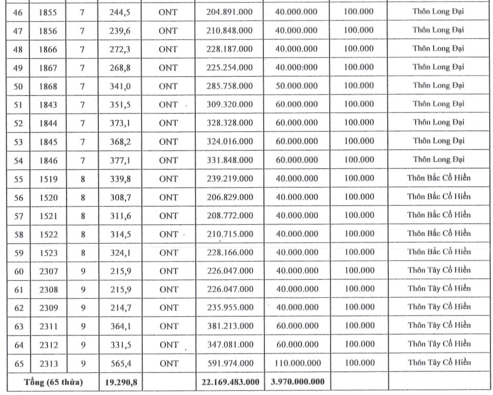
Truong Ha Joint Stock Auction Company has just announced the organization of a land use rights auction for 65 residential plots in Truong Ninh commune, Quang Tri province. The plots of land have an area of 214.7m2 to 565.4m2, with starting prices ranging from 204.891 million VND to 701.505 million VND per plot.




The subjects eligible to participate in the auction are individuals who are subject to land allocation by the State with land use fees collected according to the provisions of the Land Law, have a need to use land to build houses according to the approved planning, and comply with the law on land and property auctions.
Participants must have full civil act capacity, submit valid and timely registration documents. The documents were purchased and submitted directly to Truong Ha Joint Stock Auction Company.
The time for selling and receiving documents takes place from 7:30 a.m. on October 22, 2025 to 4:30 p.m. on November 6, 2025 at the headquarters of Truong Ha Joint Stock Auction Company (No. 52 Mai Thuc Loan, Dong Hoi Ward, Quang Tri Province) and the Quang Ninh Land Fund Development and Investment Project Management Board (No. 127 Nguyen Huu Canh, Quang Ninh Commune, Quang Tri Province).
The fee for purchasing documents to participate in the auction is 100,000 VND/monster for land plots with starting prices under 1 billion VND.
Those who need to see the property can go directly to the locations of the plots of land or refer to the cadastral map for 3 days, from October 27 to 29, 2025 (contact in advance for specific time arrangements).
The auction is organized in the form of indirect voting, applying the method of bidding up.
After carefully studying the land plot documents and auction regulations, participants will complete the registration procedures, purchase the documents to participate (only record the number of plots of land, not the land plot symbol) and will be issued a bidding form. At this time, Truong Ha Joint Stock Auction Company provides specific instructions on how to record votes, the deadline for submission and the time of voting end.
The auction organizer is responsible for introducing the plots of land put up for auction, recalling the starting price and answering questions from participants. Participants fill in information on the bid form themselves, in which the amount stated must be equal to or higher than the starting price, and clearly state the registered land plot information (land plot name, plot number, map sheet, etc.). After the completed receipt is put into the envelope, the bidder signs and tightens the edge of the envelope and then returns it to Truong Ha Joint Stock Auction Company to put into the bond box.
When the time limit for receiving the ballot expires, the ballot box will be sealed. The auction registration form only records the information of the participants, not the content of the auctioned assets.
The price announcement session will take place at 8:30 a.m. on November 11, 2025 at the hall of the People's Committee of Truong Ninh commune, Quang Tri province.