Tuan Linh Property Auction Joint Stock Company has just announced the organization of an auction of the right to use 85 residential land lots in Gia Hung commune, Ninh Binh province.
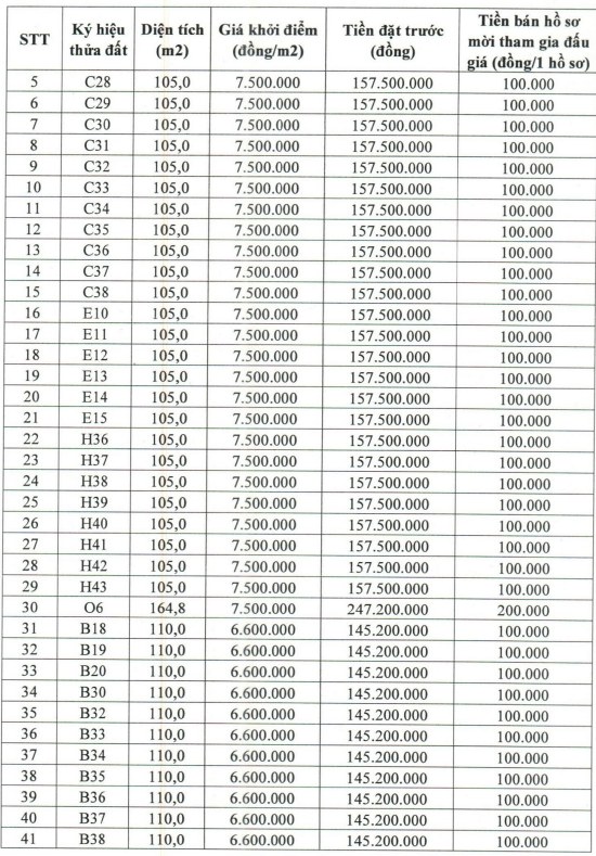
The total area of land put up for auction is 14,141.1m2, the plots have an area of 105350m2, with starting prices ranging from 6.67.5 million VND/m2. The land has been cleared, the technical infrastructure has been completed, and land has been allocated with land use fees collected in the form of land use rights auction. The purpose of use is rural land, with a long term of use.




The fee for purchasing documents to participate in the auction is regulated at 2 levels: 100,000 VND/ document; for lots O6, A1, from A4 to A10, D1, from F1 to F6, from 16 to 113, lots 119 and 120, the price is 200,000 VND/ document.
The time for selling and receiving registration documents to participate in the auction takes place during office hours, from 8:00 a.m. on October 23 to 5:00 p.m. on November 5, 2025, at the People's Committee of Gia Hung Commune and the headquarters of Tuan Linh Property Auction Joint Stock Company.
The auction will be held at 8:00 a.m. on November 8, 2025 at the Gia Hung Commune People's Committee Cultural House. The auction is a direct vote in one round for each plot of land, according to the method of bidding up.