Da Lat University has just announced information on regular university admissions in 2026. Specific admission methods are as follows:
- Method 1: Based on the results of the 2026 high school graduation exam (Method code: 100)
- Method 2: Expected based on academic results of grades 10, 11, 12 (Method code: 200)
- Method 3: Use the results of the 2026 competency assessment exam (Method code: 402)
- Method 4: Direct admission according to the regulations of the Ministry of Education and Training (Method code: 301)
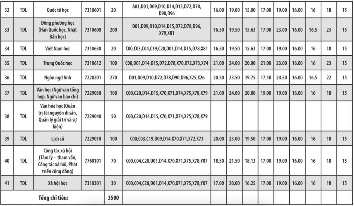
The school plans to enroll 3,500 targets for training majors such as: Post-harvest Technology; Business Administration; Cultural Tourism; Mathematics Pedagogy; Informatics Pedagogy; Literature Pedagogy; Chemistry Pedagogy, History Pedagogy...




The list of admission subject combinations used by Da Lat University in the 2026 enrollment season is as follows: A00, A01, C00, C01, C02, D01, D14, D15, D78, D96...
In 2025, the admission benchmark score to Da Lat University according to the high school graduation exam score method ranges from 16 to 28.5 points.
Among them, the major with the highest benchmark score is Mathematics Pedagogy with 28.5 points.
Some majors have the same benchmark score of 27.75 points such as: Literature Pedagogy, History Pedagogy, English Pedagogy.
Some majors have the same benchmark score of 17 points such as: Biology, Agriculture, Post-harvest Technology...
Previously, many universities announced their 2026 enrollment plans such as: Air Defense - Air Force Academy; Phan Chau Trinh University; Vietnam-Korea University of Information Technology and Communications - Da Nang University...
Candidates can see more lists of universities that have announced their expected enrollment plans for 2026 HERE.