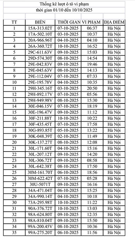
On the afternoon of October 22, information from the Traffic Police Department (CSGT) - Hanoi City Police, from October 1 to October 10, 2025, the traffic surveillance camera system managed and operated by the unit detected and recorded 41 cases of vehicles violating the law, including cars and motorbikes. Details below.


Vehicle owners and drivers can look up information on "refrigeration fines" on the website of the Traffic Police Department - Ministry of Public Security at www.csgt.vn, or contact directly the Traffic Command and Traffic Light Control Team (Hanoi Traffic Police Department - CATP) at 54 Tran Hung Dao, Cua Nam Ward, Hanoi City, phone: 0692.196.440 for guidance and resolution.
For people residing in Hanoi, they can go to 14 locations to receive and resolve the collected results using professional equipment and means (cold fines) of the Hanoi Traffic Police Department to resolve administrative violations.