Bac Ninh Police announced the list of fines from October 23 to 31, 2025. Among these, many vehicle owners were fined for turning left at prohibited signs as follows:
99A_57431; 98C_26560; 30A_76875; 30H_01332; 99A_63626; 99A_15355; 90A_56091; 98A_35125; 98A_91305; 98A_73938; 98A_41957; 20C_18662; 98A_22121; 98B_02961; 20A_58092; 98A_56601; 98A_25996; 99A_99815; 98A_91662; 99C_27396; 98A_36251; 98C_21342; 98C_37068; 30G_21273.
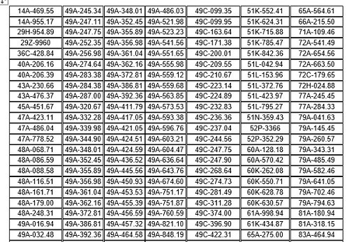
Lam Dong Police said that from August 16, 2025 to September 20, 2025, the police will fine many cases. In this list, some vehicle owners who were fined for turning left at prohibited areas are as follows:


According to Decree 168/2024/ND-CP, car drivers and car drivers turning left at places with signs prohibiting turning will be fined from VND 2,000,000 to VND 3,000,000.
If the car driver drives the wrong way and causes a traffic accident, he/she will be fined 20-22 million VND and have 10 points deducted from his/her driving license. With the above penalty, drivers need to pay close attention to the mistake of driving in the wrong lane and not complying with signs and road markings.
When paying the fine, the car driver must prepare the following documents: Vehicle registration, certificate of technical safety inspection and environmental protection, driver's license of the violator, citizen identification card of the violator (photocopy 1 copy of each type of document).