Traffic police, Bac Ninh Provincial Police announced that from February 7 to February 13, traffic police will issue remote fines for cases. Among them, many motorbike owners were fined for running red lights as follows:


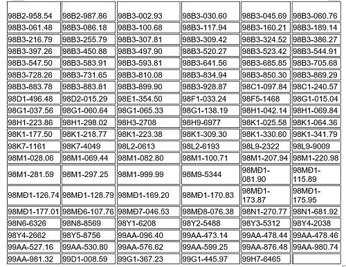
Thanh Hoa Police also said that the results of detecting vehicles violating traffic order and safety through the security and order monitoring camera system, traffic safety from February 12, 2026 to February 15, 2026. Among these, motorbike owners were fined for many violations under Decree 168, including the violation of controlling motorbikes using hands to use phones as follows:

People should note the penalty level for motorbike drivers violating new regulations according to Decree 168/2024/ND-CP as follows:
Motorcyclists who run red lights are fined from 4,000-6,000 VND.
Motorcyclists who do not wear helmets will be fined from 400,000 to 600,000 VND.
Motorcyclists using hands to use phones are fined from 800,000 VND to 1,000,000 VND.
To pay remote fines, people can go to the police station where remote fines are detected or to the police station where they reside to resolve violations according to regulations.
However, according to the new recommendation of the Traffic Police Department, people should go to the headquarters of the traffic police department where they have permanent residence to handle violations, and should not go to the location where violations are detected in other localities to handle them, which is both overloading for functional forces and requires long travel.