The Department of Agriculture and Environment has sent the Ho Chi Minh City People's Committee Official Letter 3785/SNNMT-KTD in 2025 on the application of the land price list from July 1, 2025 in Ho Chi Minh City.
At the same time, according to the provisions of Clause 12, Article 1 of Resolution 202/2025/QH15, the entire natural area and population of Ho Chi Minh City, Ba Ria - Vung Tau province and Binh Duong province will be merged into a new city called Ho Chi Minh City.
The land price list is built according to specific locations, areas, and routes named in the land price list of 3 provinces and cities before the merger, which will apply according to the principle of specific locations, areas, and routes at the administrative boundaries of 3 provinces before the merger, corresponding to the administrative boundaries of 168 commune-level administrative units in Ho Chi Minh City.
Accordingly, the land price list issued under the 2013 Land Law of each locality will continue to be applied according to the principle of specific location, area, and route of that locality.
From July 1 to December 31, the land price list issued in each locality before the merger will continue to be applied.
Below is a list of land prices in some areas of the (old) Binh Duong that are economically and socially favorable, with transport infrastructure attracting many domestic and foreign investors.
Land price list of Ben Cat ward

Ben Cat ward is conveniently located for connecting within the region and inter-regional with the gradually completed infrastructure system. This is also an area with many industrial parks such as: Ben Cat, My Phuoc, ... According to Resolution 20/2024/NQ-HDND adjusting the land price list of the Provincial People's Council, the highest land price in Ben Cat belongs to type 1 routes in locations such as: Lot A, Lot C Ben Cat market or bus station to Ben Cat market, fluctuating around 22.77 million VND/m2.
The highest price of more than 22 million VND/m2 is located on the road from the bus station to Ben Cat market (Lot D), specifically the Hung Vuong section (plot No. 98 and 766, map sheet 29) to plots No. 71 and 235, map sheet 29. The highest price offered to the market is also at lot A of Ben Cat market from plot No. 162, map sheet 29 to Ngo Quyen (plot No. 353, map sheet 29).
The lowest price is from 1.3 - 2 million VND/m2 located on a road, a road section or a public walkway with a width of less than 4 meters.
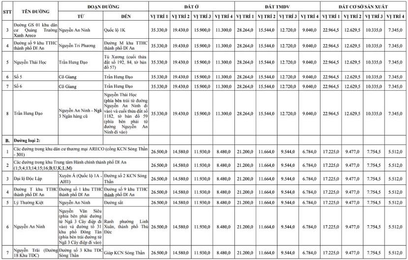
Land price list of Di An ward
Di An ward is also one of the real estate hotspots in Binh Duong because of its convenient connection location, quite complete infrastructure, densely populated population, and high demand for land and housing.
According to the land price stipulated in Resolution 20, the area with the highest land price in the city belongs to type 1 routes, at location 1 such as: Tran Hung Dao, Co Bac, Co Giang, Nguyen Thai Hoc, Road 9, Di An city center administrative area, ... at about 35.3 million VND/m2.
The lowest selling price is only 3.13 million VND/m2 for a road, a road section or a public walkway with a width of less than 4 meters, ranging from 200 meters or more (calculated from road to land plot) to a type 5 street.

Land price list of Phu Giao commune
Phu Giao is a commune with a large area and diverse terrain. In Phu Giao commune, the highest land price is in locations in towns and cities at locations 1, type 1 roads, such as Doc Lap, Cua Bac, Cua Nam, ... with a price of about 9.5 million VND/m2.
Land price list of Tan Uyen ward
Tan Uyen Ward is located in the North of the old Binh Duong Province, with a very convenient traffic location with routes such as: National Highways 13, 14, expressways connecting Ho Chi Minh City, Binh Phuoc, Dong Nai.
Residential land in Tan Uyen has a large level of fluctuation, a wide range. Land on main roads or near industrial parks, in good locations, and for business purposes can be up to more than 21 million VND/m2. Meanwhile, land rent in some suburban or suburban areas can be around 4 million VND/m2.