Joint Stock Auction Company No. 5 - National in coordination with the Investment - Infrastructure Project Management Board of Ha Bang commune will organize an auction of residential land use rights for 34 land plots in Muc Uyen 2 hamlet, Ha Bang commune, Hanoi city.
The total land area is 4,529.1 m2, land plots have an area from 126.9 m2 to 180 m2. The starting price ranges from 8,570,000 VND/m2 to 13,188,000 VND/m2, depending on each land plot.
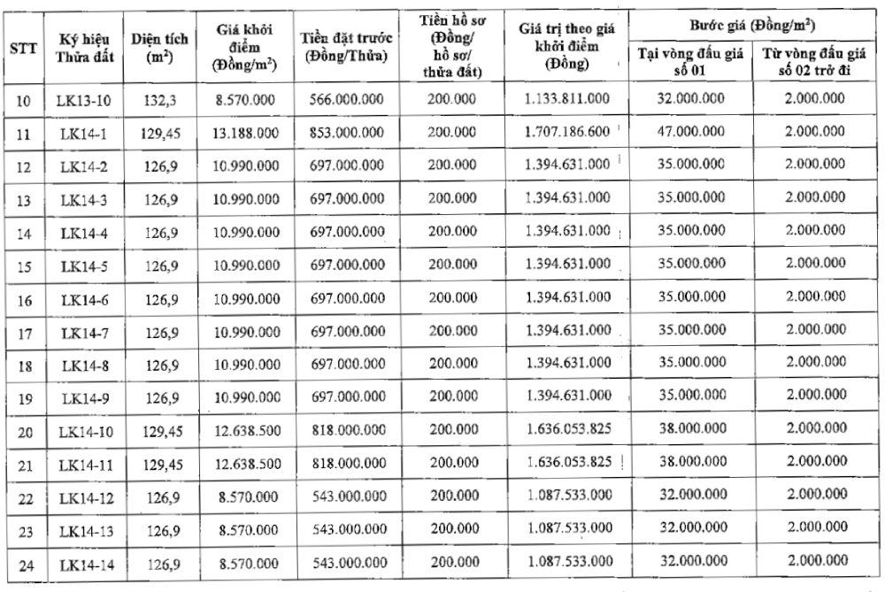
The auction form is auction by land plot, by direct voting in multiple rounds at the auction session, with a minimum of one mandatory auction round. The auction session ends when there are no more bidders. The auction method is to bid up.



The price step is applied specifically according to each land plot group. For land plot symbol LK14-1, the price step at the mandatory auction round is 47,000,000 VND/m2; from the second auction round onwards, the price step is 2,000,000 VND/m2.
For land plots with symbols LK13-1, LK14-10, LK14-11, LK15-1, the first round price is 38,000,000 VND/m2; from the second round onwards is 2,000,000 VND/m2. The group of plots from LK14-2 to LK14-9 and LK15-2 has a first round price of 35,000,000 VND/m2; subsequent rounds increase by 2,000,000 VND/m2.
The remaining plots including LK13-2 to LK13-10, LK14-12 to LK14-20, LK15-3 and LK15-4 have a price step in the first round of 32,000,000 VND/m2; from the second round onwards, an increase of 2,000,000 VND/m2. All cases have no limit on the number of price increases in each auction round.
The time to sell bid invitation dossiers is from 8:00 AM on January 20, 2026 to 5:00 PM on February 2, 2026 (during office hours). The location for selling and receiving dossiers is at the Public Service House - Ha Bang Commune People's Committee or at Joint Stock Auction Company No. 5 - National.
The auction is expected to be held at 8:30 am on February 5, 2026 at the Hall of the Culture - Information and Sports Center of Ha Bang commune (Truc Dong village, Ha Bang commune, Hanoi city).
Auction participants must be present at the organizing location at least 60 minutes in advance to carry out procedures. In case of authorization to participate in the auction, there must be a valid authorization document, notarized according to regulations, clearly stating the content, time limit, rights and responsibilities of the parties. In one auction session, each person is only allowed to represent one participant and is not allowed to simultaneously receive authorization from another person when auctioning the same land plot.